yl23411永利集团官网南文雅副教授团队在npj Science of Learning期刊上于2024年4月发表文章“Alpha neurofeedback training improves visual working memory in healthy individuals”。
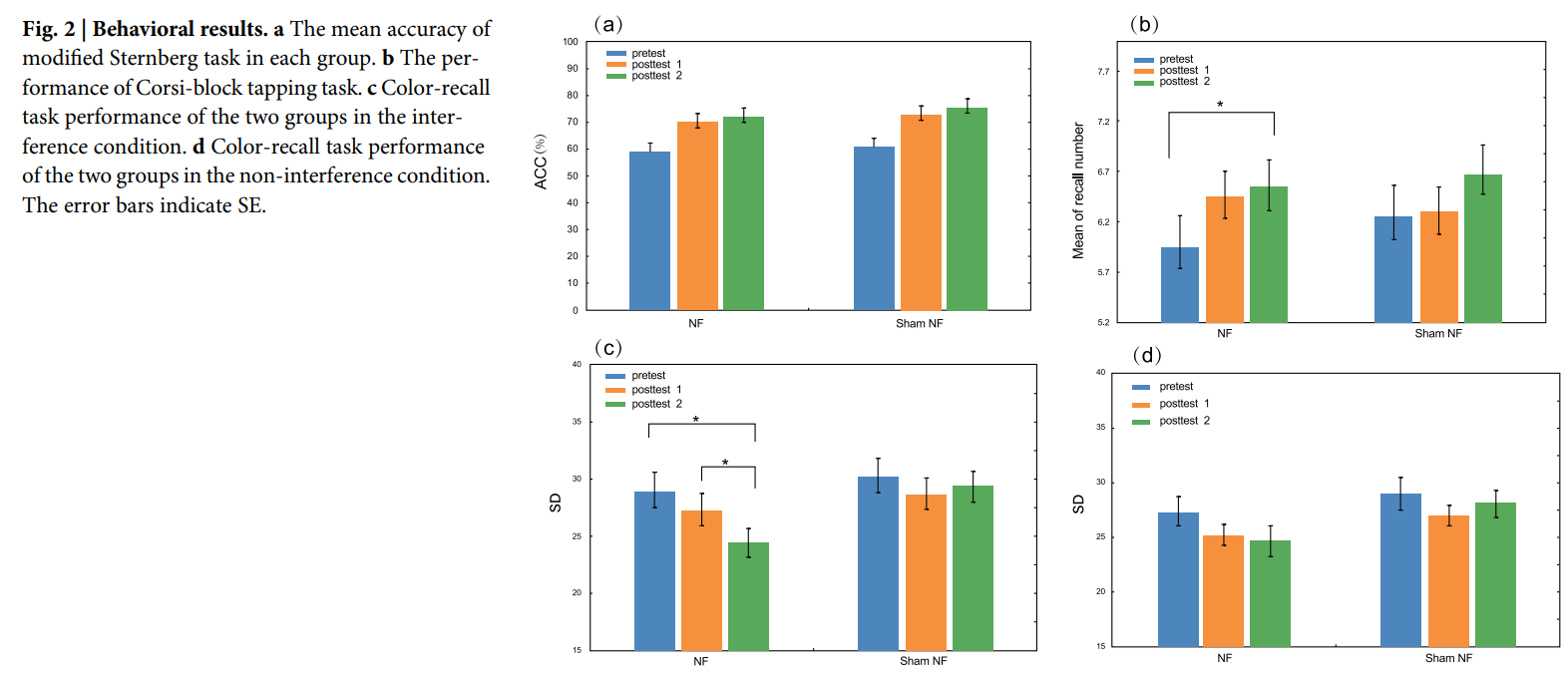
前人研究发现,脑电alpha (8-12 Hz)节律的神经反馈训练可提高工作记忆容量,但其是否影响工作记忆的精度尚未被探讨。此外,神经反馈训练是否会影响不同类型的工作记忆表现尚不清楚。南文雅副教授团队通过随机、单盲、虚假反馈对照的实验发现,alpha神经反馈训练可以有效提高视觉空间工作记忆的容量以及精度。
我校yl23411永利集团官网南文雅副教授与中山大学库逸轩教授为该论文共同通讯作者,第一作者为yl23411永利集团官网已毕业硕士研究生周文斌,其他作者有yl23411永利集团官网硕士生熊凯文。
npj Science of Learning期刊是Nature合作期刊,五年影响因子5.4,位于SSCI数据库心理学类一区、中科院文献情报中心期刊分区心理学学科一区。


